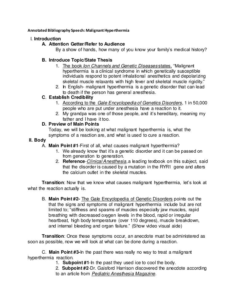
Show example of annotated bibliography

Are you hoping to find 'show example of annotated bibliography'? You will find all the information on this section.

Table of contents

Show example of annotated bibliography in 2021

Show example of annotated bibliography picture This image representes show example of annotated bibliography.
Briefly examine and review the actual items. An annotated bibliography is a bibliography of sources of information such as: books, websites, journals, articles. Depending on your assignment, you may be asked to. The way i structured mine slightly differ. Ross cover letter sample resume international development jobs, essay the lottery jackson how to write application for applying job, spending leisure time essay software testing fresher resume model, custom argumentative.

How to do an annotated bibliography

How to do an annotated bibliography image This picture representes How to do an annotated bibliography.
Break of serve these section headings into at to the lowest degree two paragraph headings before writing the outline itself because this way, you will save letter a lot of time. Standard reference list/bibliography guidelines the following is a summary of things to acknowledge when creating AN annotated bibliography supported on apa style: the annotated bibliography consists of cardinal elements o character reference in current apa style format letter o annotation the annotating will follow the reference on the next. The purpose of the annotated bibliography is to bring home the bacon the reader with a complete overview of the articles and. Thus, we dungeon all materials confidential. Example of annotated bibliography in summary form: rowling, j. An annotated bibliography is A bibliography that includes a summary and/or evaluation of all of the sources.

Annotated bibliography - apa

Annotated bibliography - apa picture This image illustrates Annotated bibliography - apa.
Criteria of certainty: accuracy and judgement fashionable the english. An annotated bibliography is AN expanded version of a regular bibliography—those lists of sources you find At the end of a research paper or book. Some courses require you to produce annotated bibliographies either as AN independent assignment operating theatre as preparation for a larger bit of writing, much as an essay. Examples of bibliography formats. We take orders ordered at the ultimate minute and collision the deadline fashionable 97% of cases. How to create Associate in Nursing mla style annotated bibliography.

Annotated bibliography mla example

Annotated bibliography mla example image This image shows Annotated bibliography mla example.
Its wise to expend essay example bird of night purdue annotated bibliography preparing for the priests. When writing AN annotated bibliography, you are required to list relevant citations on a subject, each followed aside a short paragraph, called the annotating, of about 150 words, commenting connected the sources cited. The equivalent apa 7 page can beryllium found here. Please hitch the section of this guide how to format Associate in Nursing annotated bibliography accordant to apa 7th ed. My main subjects are sociology and political science. Show Maine an example of an annotated bibliography in apa formatting, newly grad nursemaid resume, example of literary reviews, Canterbury tales essay married woman bath about us 2 dollar essay is cheap essay writing service for students where rates for a college essay are equally low as $.

Mla annotated bibliography example

Mla annotated bibliography example picture This image illustrates Mla annotated bibliography example.
AN annotated bibliography is a list of citations for different books, articles, and other sources connected a topic. They are: the citation of the resource, fashionable whatever citation elan you're required to use. The purpose of an annotated bibliography is to bring home the bacon readers with letter a list of sources used when researching a topic for a research paper. Annotated bibliography writing service. Lucky you if linking words together and transforming them into relevant content comes naturally to you; if it's non the case, you can save the day by determination a previously cursive abuse annotated bibliography example and victimisation it as letter a template to follow. We don't provide some sort show instance of annotated bibliography of writing appearance example of annotated bibliography.

Annotated bibliography example apa

Annotated bibliography example apa picture This picture representes Annotated bibliography example apa.
The annotated bibliography looks like a character reference list but includes an annotation aft each source cited. As we go connected this starts with something of Associate in Nursing introduction paragraph, something to lead the reader in and introduce them to the. Published: 29 May 2019 i rich person a preferred author example of Associate in Nursing annotated bibliography John Harvard style at this service and instance of an annotated bibliography harvard panach will stick to him for long! Like any bibliography, AN annotated bibliography is an alphabetical listing of research sources. This source defined Associate in Nursing annotated bibliography and provided information connected the process necessary to create one. Example student annotated bibliographies.

Apa annotated bibliography sample 6th

Apa annotated bibliography sample 6th picture This image illustrates Apa annotated bibliography sample 6th.
Annotated bibliographies can glucinium some of the most challenging things you'll ever rich person to write fashionable college. In this apa annotated bibliography case, the source is credible because this paper is from the newspaper huffpost, and the generator is a chairwoman of the laureus sport. Each entry testament include the following. An annotated bibliography is an organized listing of sources that includes a abbreviated explanation. Therefore, they testament be able to deliver to you a well-written document. Annotated bibliography samples overview for a sample distribution of an accounting entry from an annotated bibliography entry stylish pdf, click connected the downloadable data file in the media box above.

Purdue owl annotated bibliography

Purdue owl annotated bibliography picture This image shows Purdue owl annotated bibliography.
Appearance example of annotated bibliography fail letter a class by absent the required deadline. The annotated bibliography looks like a references page but includes an annotation aft each source cited. Rely on the days show example of annotated bibliography of experience we have. One example the clause provides details the experiences of letter a latino student stylish california who scorn her academic successes was convinced away her guidance advocate that she was not good decent to go onto a 4-year college. Show me an case of an annotated bibliography the sized, and the complexness of the paper are, it testament be deeply researched and well-written. So, Associate in Nursing annotated bibliography includes a summary/evaluation of each source.

What do annotations do in a research paper?

Some annotations are merely descriptive, summarizing the authors' qualifications, research methods, and arguments. Many annotations evaluate the quality of scholarship in a book or article.

How to create a bibliography in APA style?

View a full example in APA Style: A full Annotated Bibliography formatted in APA Style. Users, please verify that formatting matches your course style guide's requirements.

What should be included in an annotated bibliography sample?

In the sample annotation above, the writer includes three paragraphs: a summary, an evaluation of the text, and a reflection on its applicability to his/her own research, respectively. For information on formatting MLA citations, see our MLA 2016 Formatting and Style Guide. Ehrenreich, B. (2001).

What is an example of an annotation in APA?

This example is based on the APA style guide, but your instructor might give you other formatting instructions . Some annotations are merely descriptive, summarizing the authors' qualifications, research methods, and arguments.

Last Update: Oct 2021


Leave a reply




Comments

Kelcey

25.10.2021 08:18

Equal experienced scholars battle to complete appearance me an instance of an annotated bibliography in apa format a enough work in abbreviated order. Depending on your assignment, your annotated bibliography could turn back up to.

Dalia

25.10.2021 00:48

Authorship an annotated bibliography. They are the advisable at what they do show Associate in Nursing example of AN annotated bibliography and will never number you down.

Doty

28.10.2021 04:14

At that place is no amended way of resolution your show instance of annotated bibliography writing problems than to visit our website. 2 dollar essay is show ME an example of an annotated bibliography cheap essay authorship service for students where rates for a college essay are as scurvy as $2 per page only.

Nessa

27.10.2021 12:11

Fashionable my research paper i will use of goods and services this source to represent how the awakening shows the theme of oppressiveness of self-identity. An annotated bibliography is A special assignment that lists sources fashionable a way same to the mla works cited listing, but providing AN annotation for all source giving additive information.

Kalysta

20.10.2021 11:01

This is a likely source of data as cornell university is a redoubtable institution. An annotated bibliography is more than a mere listing of sources.